







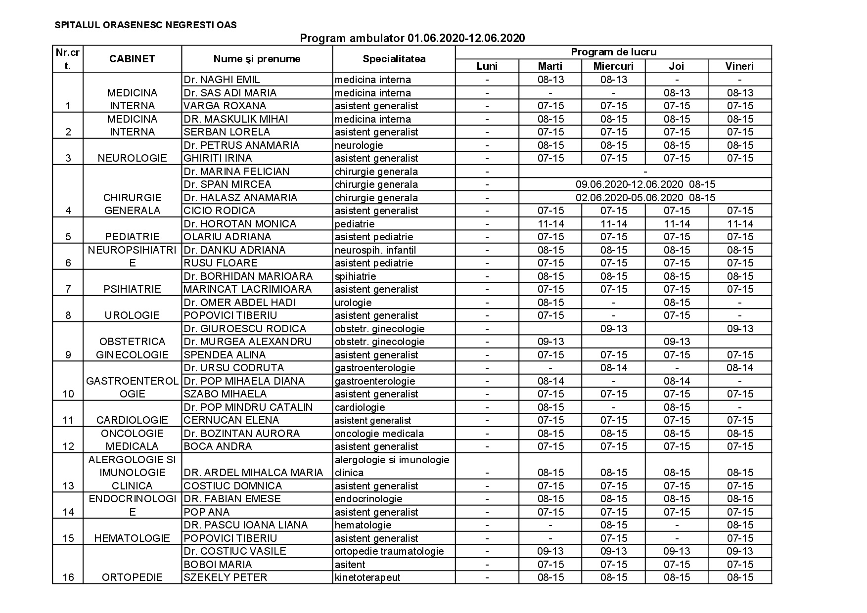
Pentru pastrarea masurilor de distantare sociala care se impun in aceasta perioada precum si pentru a veni in sprijinul populatiei medicii din Ambulatoriul integrat al Spitalului Orasenesc Negresti Oas vor acorda la cabinetul de specialitate doar pe baza de PROGRAMARE, la numerele de telefon afisate pe site-ul spitalului.
Pentru a preintampina formarea de aglomerari in fata ambulatoriului, va rugam respectuos sa respectati PROGRAMAREA si sa purtati MASCA DE PROTECTIE.
Pentru PROGRAMARE in cadrul ambulatoriului de specialitate si paraclinic va rugam sa formati unul din numerele de telefon: 0261.854.830; 0261.854.631; 0261.854.632; 0261.853830 si sa solicitati interiorul dorit, indicand numele cabinetului din ambulator.
PROGRAMARILE se pot face de luni pana vineri in intervalul orar 12-15, iar pentru cabinetul Pediatrie in intervalul orar 08-11.


